Teilchenphysik[n], Streuung
relativistischer Elektronen an Elektronen:
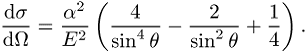
. In
niedrigster Ordnung enthält die Streuamplitude zwei Graphen (siehe Abb.). Der
Wirkungsquerschnitt ist im Schwerpunktssystem gegeben durch die Formel

(q, E: Streuwinkel
und Energie im Schwerpunktsystem; m:
Elektronmasse). Im relativistischen Grenzfall E
¥ reduziert sich diese Formel auf

Nicht-relativistisch erhält man


Møller-Streuung: Beitragende Graphen.
Das freie Technik-Lexikon. Fundierte Informationen zu allen Fachgebieten der Ingenieurwissenschaften, für Wissenschaftler, Studenten, Praktiker & alle Interessierten. Professionell dargeboten und kostenlos zugängig.
Techniklexikon
Modernes Studium der Physik sollte allen zugängig gemacht werden.